13 個榜單 SOTA!明略科技正式開源GUI-VLA 模型Mano-P 1.0
2026-04-16
近日,明略科技正式開源自研 GUI 感知智能體模型 Mano-P 1.0。Mano-P 具備 GUI 感知、理解、規劃、操作與驗證能力,可通過純視覺方式直接理解并操控桌面軟件、網頁界面及更復雜的圖形化工作流,并支持在 Apple M4 芯片設備上本地運行。
?? Website【 https://github.com/Mininglamp-AI/Mano-P 】??
Mano-P 讓 AI 打破了“只看不做”的局限,能夠直接在真實的圖形界面中跨平臺執行復雜任務。該項目以 Apache 2.0 協議開源,完整代碼公開可審計,支持商業使用與二次開發。
通過提供純視覺理解與本地執行能力,Mano-P 賦能個人開發者與企業組織能夠以低成本構建專屬的個性化 AI,在保障數據主權的前提下,正式邁入“私有化”的個人 AI 時代。
在現有技術架構下,自動化操作往往受限于底層 API 接口調用、CDP 協議或網頁 HTML 解析,一旦面對非標準應用或跨系統協作時便顯得力不從心。Mano-P 以純視覺理解為核心技術范式 ,不依賴外部接口與協議,能夠直接理解并操控桌面軟件、3D 應用及復雜的專業工具,從根本上打破了傳統基于瀏覽器的生態邊界 。
同時,Mano-P 可為現有 Agent 生態提供關鍵的執行能力底座。目前,Mano-P 可通過 skill 形式無縫接入OpenClaw 等 AI Agent。強強聯合下,Agent 可以無縫穿梭于多窗口系統和跨應用的工作流中,順滑地執行點擊、文本輸入、窗口切換及視覺驗證等閉環動作。
這一突破解決了長期困擾 Agent 工作流的人工干預瓶頸,使模型不僅能勝任全自動應用的構建測試,更能向復雜的商業場景延伸,實現復雜任務的全程自主執行。
為確保前沿技術在端側設備的普惠可用,Mano-P 采用了雙版本交付架構:由 72B 完整模型探索并證明技術上限,同時提供 4B 量化模型(w4a16)以滿足極致的端側部署需求 。
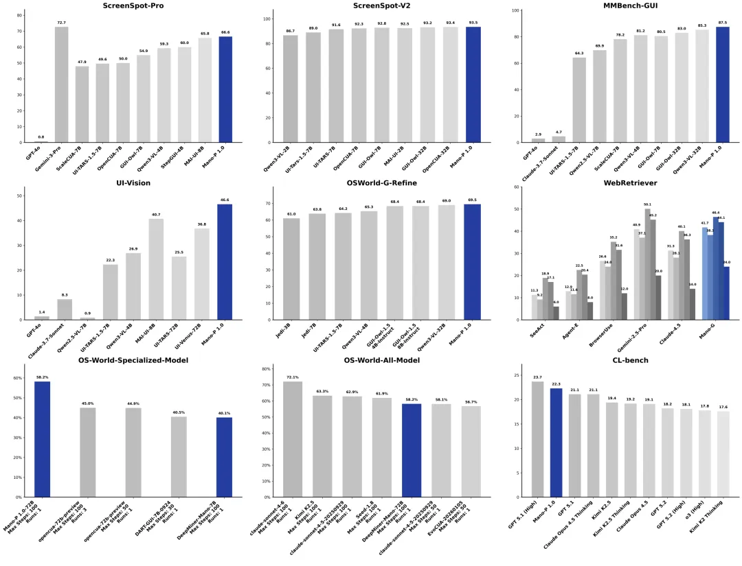
Mano-P 1.0 以 72B 參數量的完整模型版本,在全球多模態領域的 13 個權威基準測試榜單中,實現了針對小尺寸模型的屠榜式 SOTA 領先 。其能力矩陣全面覆蓋了 GUI Grounding、CUA(計算機使用代理)、多模態感知認知、視頻理解以及長上下文學習等關鍵維度,確立了端側 GUI Agent 的性能標桿 。

在業界權威的 OSWorld 專有模型基準測試中,Mano-P 72B 模型以 58.2% 的任務成功率位列全球第一,領先第二名 opencua-72b(45.0%)多達 13.2 個百分點 。此外,在 ScreenSpot-V2、MMBench、UI-Vision等評測體系中,Mano-P 同樣以絕對優勢拔得頭籌 。
卓越的性能離不開底層的技術創新。Mano-P 引入了 SFT(監督微調)、離線強化學習與在線強化學習的三階段漸進式訓練架構,并配合專有的 GSPruning 視覺 Token 剪枝技術,實現了端側推理效率的飛躍。
在配備 Apple M4 Pro 芯片的設備上,4B 量化模型可實現高達 476 tokens/s 的預填充速度與 76 tokens/s 的解碼速度,峰值內存占用僅為 4.3GB,完美適配主流邊緣設備的算力與存儲限制。
隨著 AI 深入核心業務流,數據隱私與合規性成為企業決策的核心考量。Mano-P 可進行本地端側部署,數據零上云 ,通過“純視覺理解 + 本地執行”的架構,能夠實現數據處理與外部網絡的物理隔離。
在本地模式下,模型可直接在 Mac mini / MacBook(M4 芯片及以上,32GB+ 內存)上運行,或使用 Mano-P 算力棒連接(通過 USB 4.0)。系統的屏幕截圖、業務流轉數據及任務指令均在本地閉環,從源頭上杜絕了面向云端服務器的傳輸風險 。
同時,Mano-P 具備強大的離線長任務自主規劃能力。在無網環境下,Mano-P同樣可以自主推進復雜業務流程,并完成過程中的決策與糾錯。這一特性不僅重塑了人機交互的信任邊界,更使得端側 AI 能夠真正進入高安全性、高隱私要求的企業級生產環境 。
技術的價值在于廣泛的應用與生態的共建。Mano-P 遵循 Apache 2.0 協議正式開源,完整客戶端代碼全面公開并支持嚴格審計,允許商業化應用與二次開發 。
為降低企業與個人用戶的接入成本,Mano-P 設計了三種開箱即用的使用形態,精準覆蓋不同技術棧的用戶群體。無需繁瑣配置復雜的 API 密鑰,用戶均能以極低門檻構建專屬的高性能 GUI 智能體。
按照既定開源規劃,明略科技本次率先開源 Mano-CUA 核心技能,用戶可將其便捷配置到 OpenClaw 或 Claude Code 中,以構建更智能的 CUA 任務工作流程,并克服人工干預帶來的瓶頸。

Mano-CUA 本地模型和 SDK 組件預計將于月內正式開源,以滿足具有高安全性開發者的需求。屆時用戶可直接調用本地化部署的 GUI-VLA 模型來構建自定義技能與工具,所有 CUA 操作都將在本地 Mac 設備上執行,而不會上傳到外部服務器。
未來,明略科技還將全面開源 Mano-P 模型底層的訓練方法、Token 剪枝技術與混合精度量化方案,助力開發者打造符合自身業務需求的專屬本地 GUI-VLA 模型。
面向未來,從技術破局到生態共建,Mano-P 將 GUI 感知、視覺操作、本地運行與開源生態緊密結合,不僅為端側智能體夯實了堅實的技術底座,更為“Personalized AI”鋪就了一條清晰的現實路徑。無論是獨立開發者,還是對安全要求嚴苛的企業組織,都能以更低的門檻、更高的可控性,打造個性化 AI。明略科技正以開放之姿,讓“人人可以創造專屬AI ”的愿景逐漸照進現實。
信息填寫